
| نصب | ۳۰ |
| از ۳ رأی | ۲ |
| دستهبندی | آموزش |
| حجم | ۲ مگابایت |
| آخرین بروزرسانی | ۲۹ اردیبهشت ۱۳۹۵ |

| نصب | ۳۰ |
| از ۳ رأی | ۲ |
| دستهبندی | آموزش |
| حجم | ۲ مگابایت |
| آخرین بروزرسانی | ۲۹ اردیبهشت ۱۳۹۵ |










آموزش ساختمان داده +حل مسائل
کلاس ارایه
ساختمان چند جمله ای
ماتریس
ماتریس خلوت
نمایش ارایه در حافظه
روش سطری
لیست مرتب
پشته
پیاده سازی پشته
شرایط پشته
عملیات روی پشته
صف
پیاده سازی صف
شرایط صف
عملیات روی صف
صف دارای n عنصر درون صف
صف حلقوی
شرایط صف حلقوی
درخت
نکات درخت ها
اصطلاحات مهم درخت ها
درخت دودویی
تفاوت درخت دودویی با درخت عمومی
نکات درخت دودویی
درخت دودویی پر
شماره گذ اری درخت دودویی
نکات درخت دودویی کامل
درخت دودویی کا مل
نمایش درخت کامل به عمق k
تبدیل درخت عمومی به دودویی .
مراحل تبدیل درخت عمومی به دودویی
پیمایش درخت دودویی
پیمایش بازگشتی
پیمایش VLR
پیمایش LVR
پیمایش LRV
نکات پیمایش درخت دودویی
درخت جستجوی دودویی
لیست پیوندی .
عملیات روی لیست پیوندی یک طرفه
نمایش لیست پیوندی با گره سر
ماتریس خلوت با لیست پیوندی
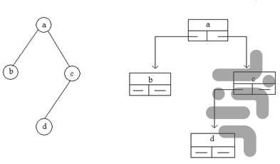
نمایش پیوندی درخت دودویی
حذف گره از درخت جستجوی دودویی
درخت max
درخت min
درخت Heap
اضافه کردن به درخت Heap
حذف کردن از درخت min Heap
نمایش درخت Heap
گراف
گراف جهت دار
رئوس مجاور
زیر گراف
مسیر
درجه راس
نمایش گراف
1. ماتریس مجاورتی
نکات ماتریس مجاورتی
گراف Sparse
2. ماتریس مجاورتی
نکات لیست مجاورتی
3. لیست مجاورتی چندگانه
انواع جستجو در گراف
نکات پیمایش گراف
درخت پوشای بهینه
درخت پوشای کمینه
الگوریتم کراسل
گراف کمینه
مولفه ی کمینه
تشخیس کمینه بودن گراف
کلاس های مفید
مرتب سازی
مرتب سازی ادغامی










